Официальное опубликование правовых актов
ОФИЦИАЛЬНОЕ ОПУБЛИКОВАНИЕ
Постановление Правительства Чеченской Республики от 21.12.2022 № 304
"О внесении изменений в постановление Правительства Республики от 26 декабря 2019 года № 304"
Номер опубликования: 2000202212270004
Дата опубликования: 27.12.2022
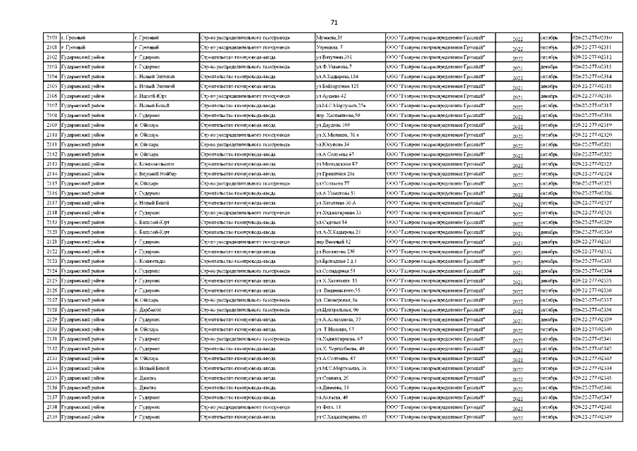
Страница №71 из 204:
Увеличить