Официальное опубликование правовых актов
ОФИЦИАЛЬНОЕ ОПУБЛИКОВАНИЕ
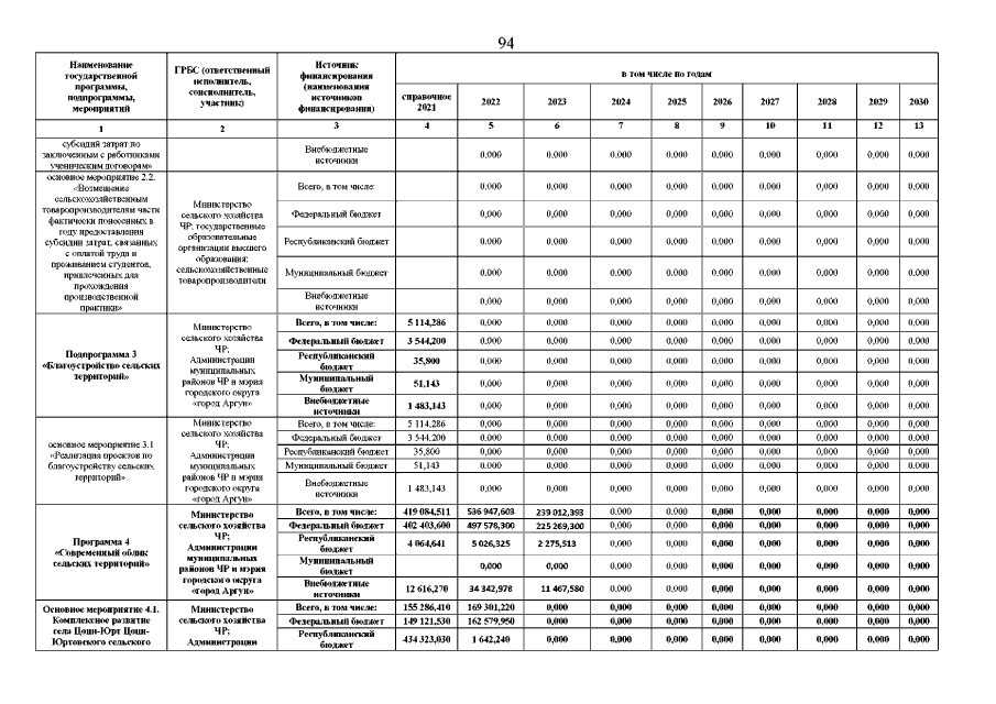
Постановление Правительства Чеченской Республики от 18.10.2022 № 254
"Об утверждении государственной программы Чеченской Республики "Комплексное развитие сельских территорий"
Номер опубликования: 2000202210240018
Дата опубликования: 24.10.2022
Страница №94 из 98:
Увеличить