Официальное опубликование правовых актов
ОФИЦИАЛЬНОЕ ОПУБЛИКОВАНИЕ
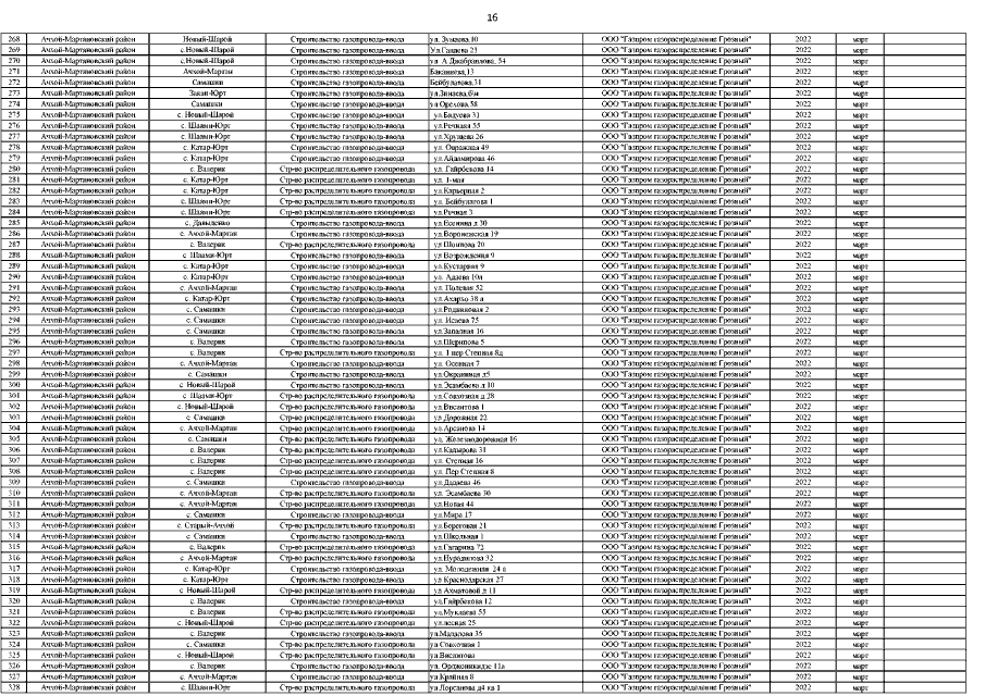
Постановление Правительства Чеченской Республики от 18.10.2022 № 240
"О внесении изменений в постановление Правительства Чеченской Республики от 26 декабря 2019 года № 304"
Номер опубликования: 2000202210240009
Дата опубликования: 24.10.2022
Страница №16 из 87:
Увеличить