Официальное опубликование правовых актов
ОФИЦИАЛЬНОЕ ОПУБЛИКОВАНИЕ
Постановление Правительства Чеченской Республики от 27.09.2022 № 221
"О внесении изменений в постановление Правительства Чеченской Республики от 19 декабря 2013 года № 330"
Номер опубликования: 2000202210040019
Дата опубликования: 04.10.2022
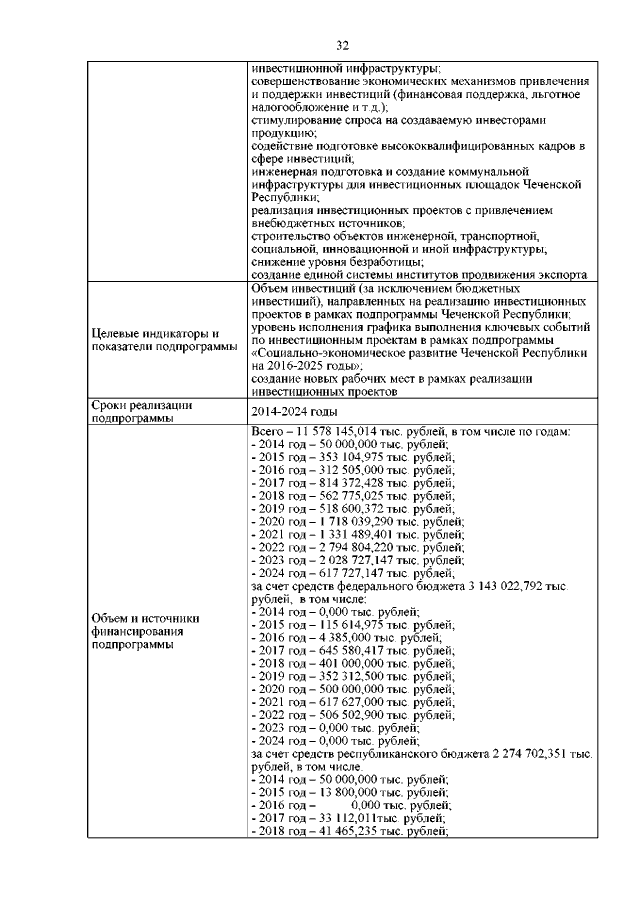
Страница №32 из 124:
Увеличить