Официальное опубликование правовых актов
ОФИЦИАЛЬНОЕ ОПУБЛИКОВАНИЕ
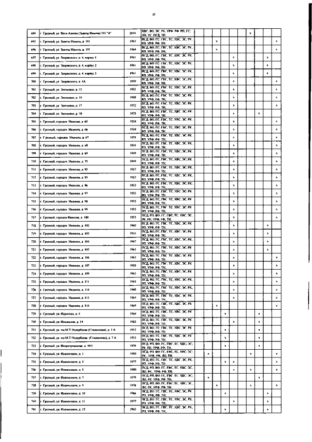
Постановление Правительства Чеченской Республики от 31.08.2022 № 191
"О внесении изменений в региональную программу "Капитальный ремонт общего имущества в многоквартирных домах, расположенных на территории Чеченской Республики, на 2014-2043 годы"
Номер опубликования: 2000202209070009
Дата опубликования: 07.09.2022
Страница №17 из 38:
Увеличить