Официальное опубликование правовых актов
ОФИЦИАЛЬНОЕ ОПУБЛИКОВАНИЕ
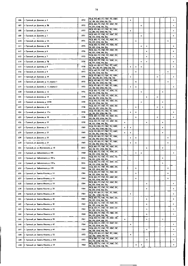
Постановление Правительства Чеченской Республики от 01.07.2022 № 153
"О внесении изменений в региональную программу "Капитальный ремонт общего имущества в многоквартирных домах, расположенных на территории Чеченской Республики, на 2014-2043 годы"
Номер опубликования: 2000202207080005
Дата опубликования: 08.07.2022
Страница №16 из 40:
Увеличить