Официальное опубликование правовых актов
ОФИЦИАЛЬНОЕ ОПУБЛИКОВАНИЕ
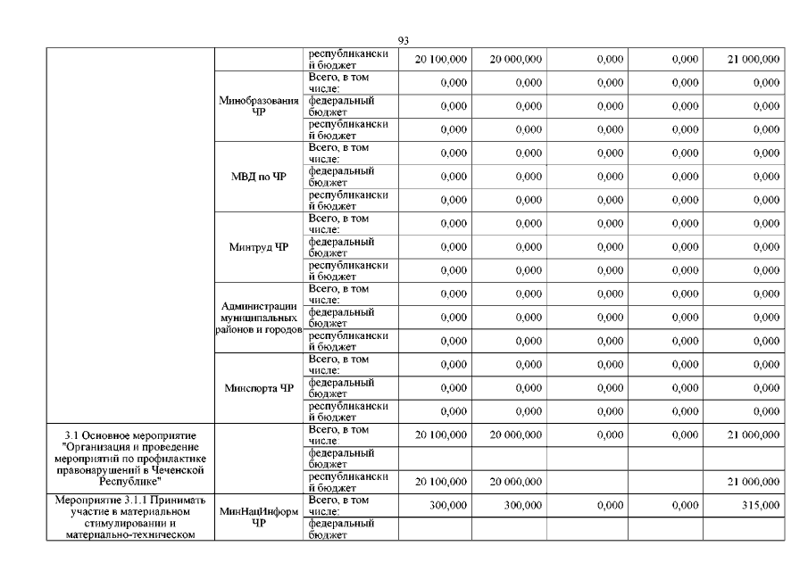
Постановление Правительства Чеченской Республики от 17.03.2022 № 59
"О внесении изменений в постановление Правительства Чеченской Республики от 19 декабря 2013 года № 317"
Номер опубликования: 2000202203250004
Дата опубликования: 25.03.2022
Страница №93 из 122:
Увеличить