Официальное опубликование правовых актов
ОФИЦИАЛЬНОЕ ОПУБЛИКОВАНИЕ
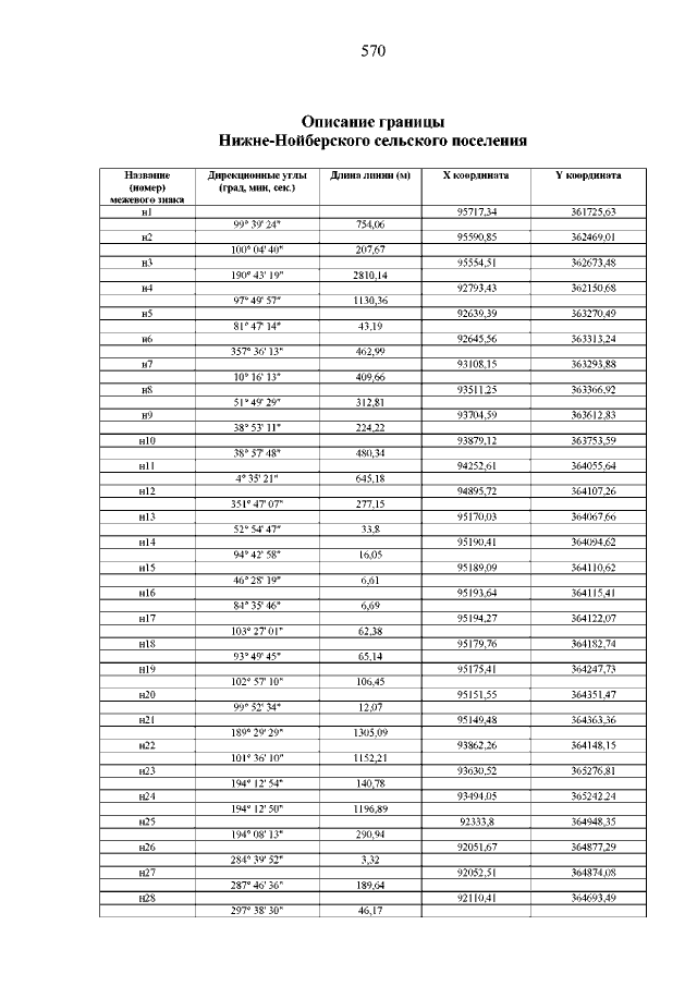
Закон Чеченской Республики от 12.01.2022 № 6-рз
"ОБ ИЗМЕНЕНИИ ГРАНИЦ ОТДЕЛЬНЫХ МУНИЦИПАЛЬНЫХ ОБРАЗОВАНИЙ ЧЕЧЕНСКОЙ РЕСПУБЛИКИ И ВНЕСЕНИИ ИЗМЕНЕНИЙ В НЕКОТОРЫЕ ЗАКОНОДАТЕЛЬНЫЕ АКТЫ ЧЕЧЕНСКОЙ РЕСПУБЛИКИ"
Номер опубликования: 2000202201200001
Дата опубликования: 20.01.2022
Страница №570 из 588:
Увеличить