Официальное опубликование правовых актов
ОФИЦИАЛЬНОЕ ОПУБЛИКОВАНИЕ
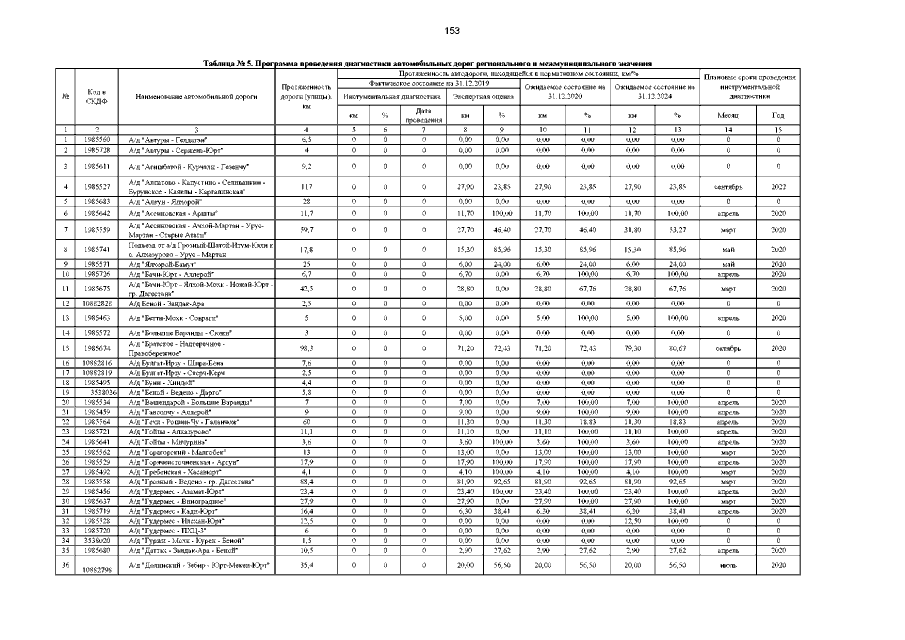
Постановление Правительства Чеченской Республики от 01.12.2021 № 314
"О внесении изменений в постановление Правительства Чеченской Республики от 12 февраля 2019 года № 30"
Номер опубликования: 2000202112100001
Дата опубликования: 10.12.2021
Страница №153 из 190:
Увеличить