Официальное опубликование правовых актов
ОФИЦИАЛЬНОЕ ОПУБЛИКОВАНИЕ
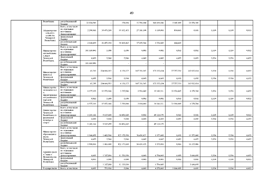
Постановление Правительства Чеченской Республики от 16.03.2021 № 29
"О внесении изменений в постановление Правительства Чеченской Республики от 19 декабря 2013 года № 351"
Номер опубликования: 2000202103190001
Дата опубликования: 19.03.2021
Страница №49 из 75:
Увеличить