Официальное опубликование правовых актов
ОФИЦИАЛЬНОЕ ОПУБЛИКОВАНИЕ
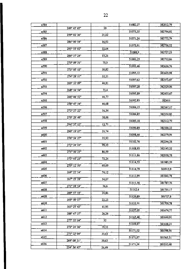
Закон Чеченской Республики от 14.12.2020 № 69-рз
"ОБ ИЗМЕНЕНИИ ГРАНИЦ ЭНГЕНОЙСКОГО И БЕНОЙСКОГО СЕЛЬСКИХ ПОСЕЛЕНИЙ НОЖАЙ-ЮРТОВСКОГО МУНИЦИПАЛЬНОГО РАЙОНА ЧЕЧЕНСКОЙ РЕСПУБЛИКИ"
Номер опубликования: 2000202012210014
Дата опубликования: 21.12.2020
Страница №22 из 59:
Увеличить