Официальное опубликование правовых актов
ОФИЦИАЛЬНОЕ ОПУБЛИКОВАНИЕ
Постановление Правительства Чеченской Республики от 16.10.2020 № 308
"О внесении изменений в постановление Правительства Чеченской Республики от 19 декабря 2013 года № 353"
Номер опубликования: 2000202010230001
Дата опубликования: 23.10.2020
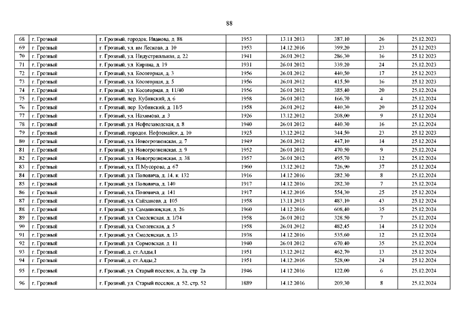
Страница №88 из 110:
Увеличить