Официальное опубликование правовых актов
ОФИЦИАЛЬНОЕ ОПУБЛИКОВАНИЕ
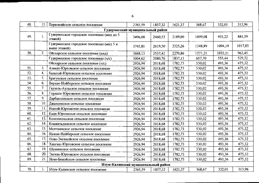
Постановление Правительства Чеченской Республики от 23.06.2020 № 140
"О республиканских стандартах стоимости жилищно-коммунальных услуг по Чеченской Республике на 2020 год"
Номер опубликования: 2000202007020007
Дата опубликования: 02.07.2020
Страница №6 из 22:
Увеличить