Официальное опубликование правовых актов
ОФИЦИАЛЬНОЕ ОПУБЛИКОВАНИЕ
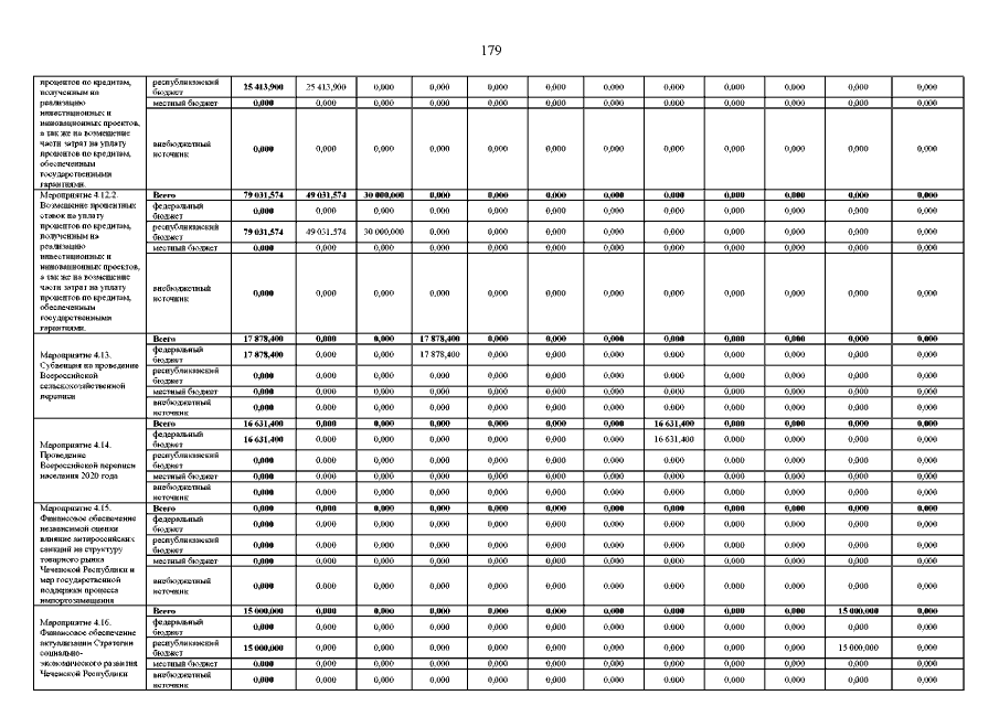
Постановление Правительства Чеченской Республики от 23.06.2020 № 130
"О внесении изменений в постановление Правительства Чеченской Республики от 19 декабря 2013 года № 330"
Номер опубликования: 2000202006260008
Дата опубликования: 26.06.2020
Страница №179 из 188:
Увеличить