Официальное опубликование правовых актов
ОФИЦИАЛЬНОЕ ОПУБЛИКОВАНИЕ
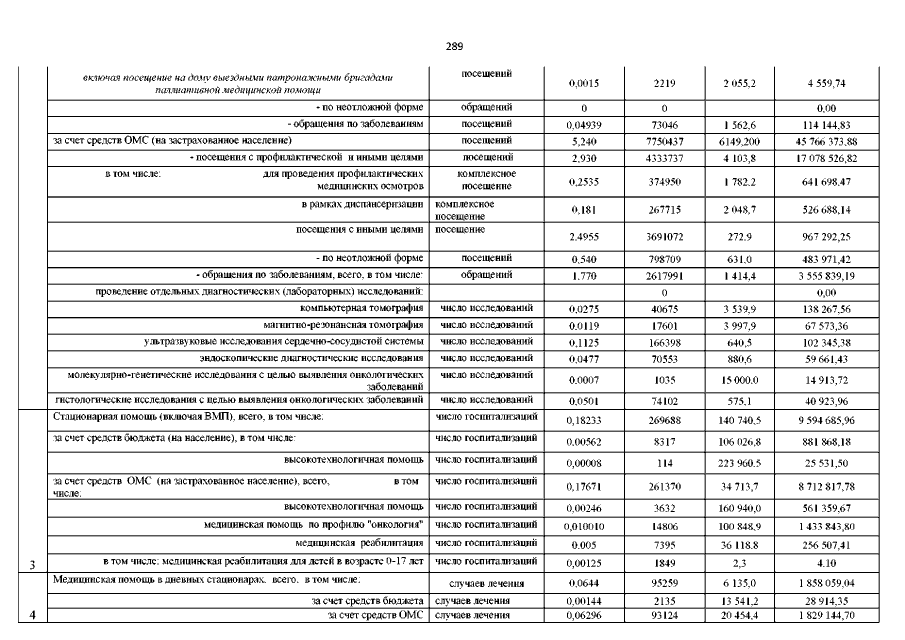
Постановление Правительства Чеченской Республики от 27.03.2020 № 62
"О внесении изменений в постановление Правительства Чеченской Республики от 10 декабря 2019 года № 265"
Номер опубликования: 2000202003300007
Дата опубликования: 30.03.2020
Страница №289 из 558:
Увеличить