Официальное опубликование правовых актов
ОФИЦИАЛЬНОЕ ОПУБЛИКОВАНИЕ
Постановление Правительства Чеченской Республики от 03.03.2020 № 40
"О внесении изменений в постановление Правительства Чеченской Республики от 19 декабря 2015 года № 354"
Номер опубликования: 2000202003060013
Дата опубликования: 06.03.2020
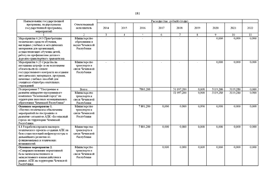
Страница №181 из 213:
Увеличить