Официальное опубликование правовых актов
ОФИЦИАЛЬНОЕ ОПУБЛИКОВАНИЕ
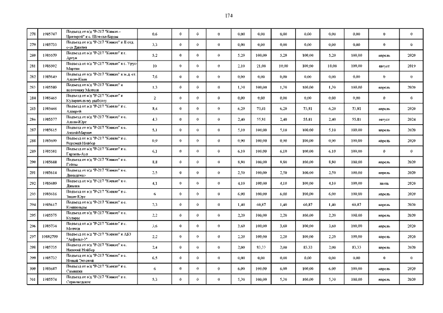
Постановление Правительства Чеченской Республики от 04.02.2020 № 27
"О внесении изменений в постановление Правительства Чеченской Республики от 12 февраля 2019 года № 30"
Номер опубликования: 2000202002100014
Дата опубликования: 10.02.2020
Страница №174 из 208:
Увеличить