Официальное опубликование правовых актов
ОФИЦИАЛЬНОЕ ОПУБЛИКОВАНИЕ
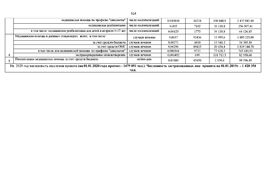
Постановление Правительства Чеченской Республики от 10.12.2019 № 265
"Об утверждении территориальной программы государственных гарантий бесплатного оказания гражданам медицинской помощи в Чеченской Республике на 2020 год и на плановый период 2021 и 2022 годов"
Номер опубликования: 2000201912180028
Дата опубликования: 18.12.2019
Страница №314 из 501:
Увеличить