Официальное опубликование правовых актов
ОФИЦИАЛЬНОЕ ОПУБЛИКОВАНИЕ
Постановление Правительства Чеченской Республики от 10.12.2019 № 264
"О внесении изменений в постановление Правительства Чеченской Республики от 4 апреля 2017 года № 77"
Номер опубликования: 2000201912180021
Дата опубликования: 18.12.2019
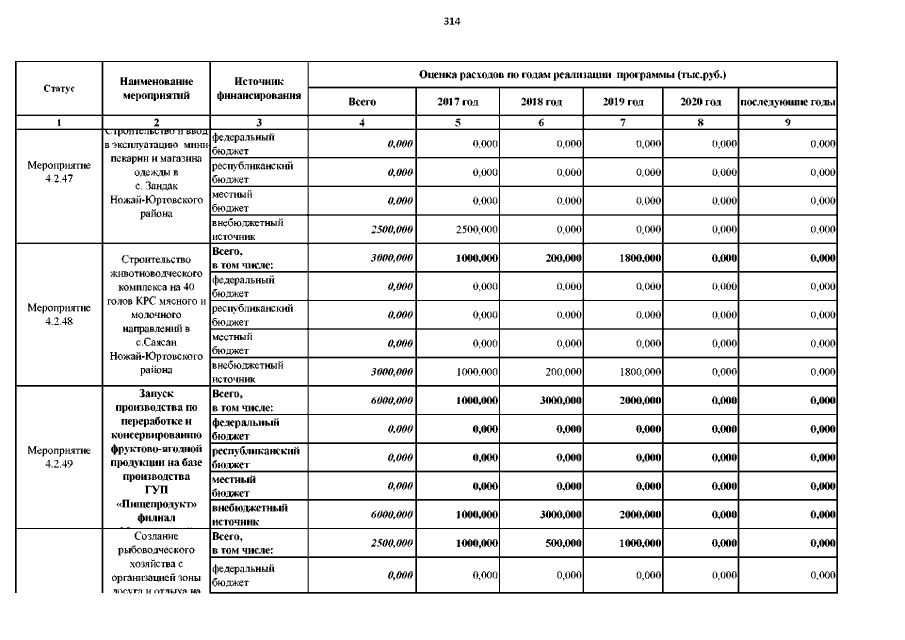
Страница №314 из 488:
Увеличить