Официальное опубликование правовых актов
ОФИЦИАЛЬНОЕ ОПУБЛИКОВАНИЕ
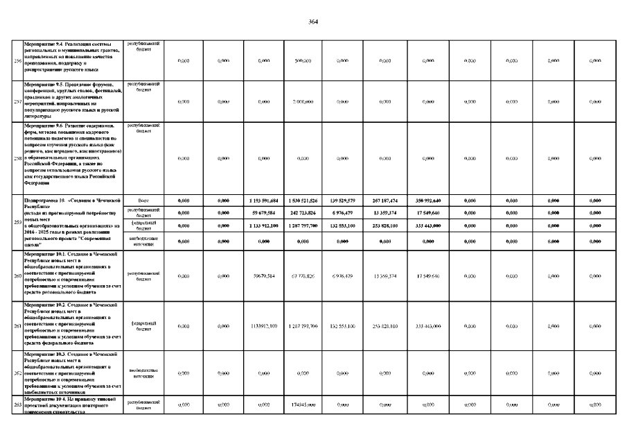
Постановление Правительства Чеченской Республики от 27.11.2019 № 237
"О внесении изменений в постановление Правительства Чеченской Республики от 19 декабря 2013 года № 345"
Номер опубликования: 2000201912060005
Дата опубликования: 06.12.2019
Страница №364 из 367:
Увеличить