Официальное опубликование правовых актов
ОФИЦИАЛЬНОЕ ОПУБЛИКОВАНИЕ
Постановление Правительства Чеченской Республики от 14.11.2019 № 221
"О внесении изменений в постановление Правительства Чеченской Республики от 12 февраля 2019 года № 30"
Номер опубликования: 2000201911220005
Дата опубликования: 22.11.2019
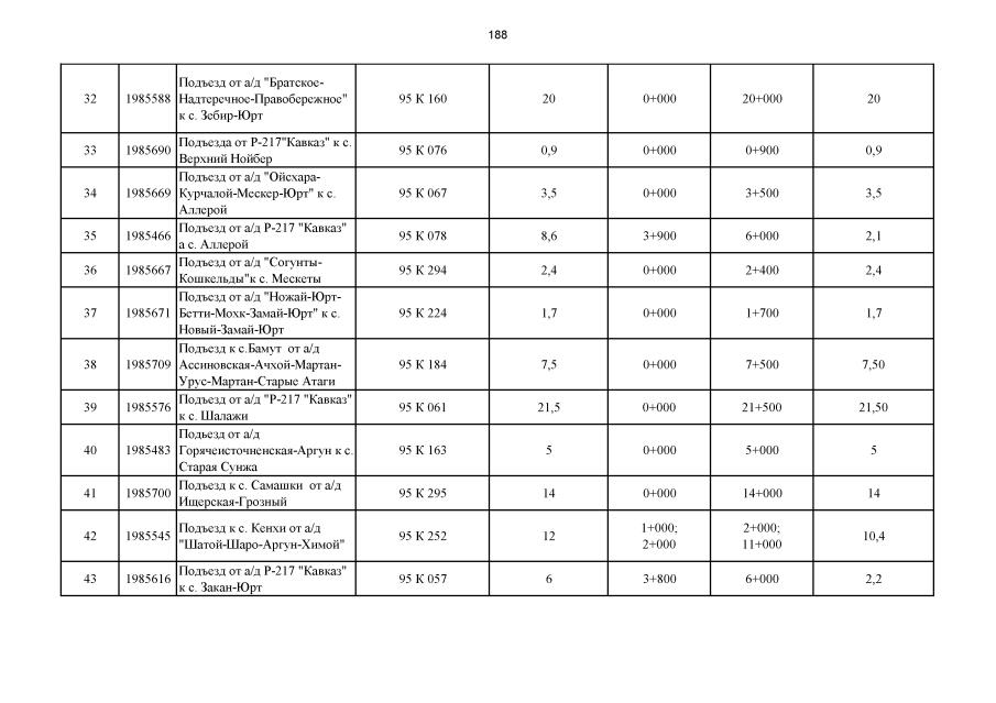
Страница №188 из 196:
Увеличить