Официальное опубликование правовых актов
ОФИЦИАЛЬНОЕ ОПУБЛИКОВАНИЕ
Постановление Правительства Чеченской Республики от 31.10.2019 № 206
"О внесении изменений в постановление Правительства Чеченской Республики от 19 декабря 2013 года № 347"
Номер опубликования: 2000201911080005
Дата опубликования: 08.11.2019
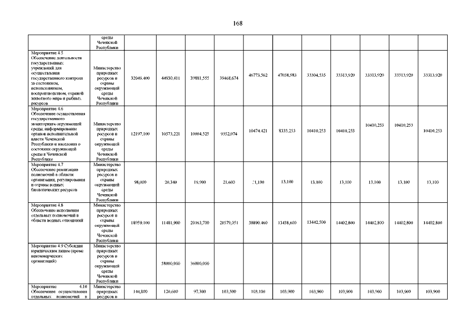
Страница №168 из 212:
Увеличить