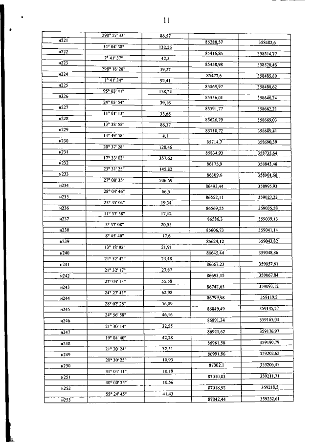
Закон Чеченской Республики от 16.09.2019 № 40-рз
"О ПЕРЕИМЕНОВАНИИ ЦЕНТАРОЙСКОГО СЕЛЬСКОГОПОСЕЛЕНИЯ КУРЧАЛОЕВСКОГО МУНИЦИПАЛЬНОГО РАЙОНАЧЕЧЕНСКОЙ РЕСПУБЛИКИ И ВНЕСЕНИИ ИЗМЕНЕНИЙ В ЗАКОНЧЕЧЕНСКОЙ РЕСПУБЛИКИ "ОБ ОБРАЗОВАНИИМУНИЦИПАЛЬНОГО ОБРАЗОВАНИЯ КУРЧАЛОЕВСКИЙ РАЙОН ИМУНИЦИПАЛЬНЫХ ОБРАЗОВАНИЙ, ВХОДЯЩИХ В ЕГО СОСТАВ,УСТАНОВЛЕНИИ ИХ ГРАНИЦ И НАДЕЛЕНИИ ИХСООТВЕТСТВУЮЩИМ СТАТУСОМ МУНИЦИПАЛЬНОГОРАЙОНА, ГОРОДСКОГО И СЕЛЬСКОГО ПОСЕЛЕНИЯ"
"О ПЕРЕИМЕНОВАНИИ ЦЕНТАРОЙСКОГО СЕЛЬСКОГОПОСЕЛЕНИЯ КУРЧАЛОЕВСКОГО МУНИЦИПАЛЬНОГО РАЙОНАЧЕЧЕНСКОЙ РЕСПУБЛИКИ И ВНЕСЕНИИ ИЗМЕНЕНИЙ В ЗАКОНЧЕЧЕНСКОЙ РЕСПУБЛИКИ "ОБ ОБРАЗОВАНИИМУНИЦИПАЛЬНОГО ОБРАЗОВАНИЯ КУРЧАЛОЕВСКИЙ РАЙОН ИМУНИЦИПАЛЬНЫХ ОБРАЗОВАНИЙ, ВХОДЯЩИХ В ЕГО СОСТАВ,УСТАНОВЛЕНИИ ИХ ГРАНИЦ И НАДЕЛЕНИИ ИХСООТВЕТСТВУЮЩИМ СТАТУСОМ МУНИЦИПАЛЬНОГОРАЙОНА, ГОРОДСКОГО И СЕЛЬСКОГО ПОСЕЛЕНИЯ"
Номер опубликования: 2000201909170026
Дата опубликования:
17.09.2019
