Официальное опубликование правовых актов
ОФИЦИАЛЬНОЕ ОПУБЛИКОВАНИЕ
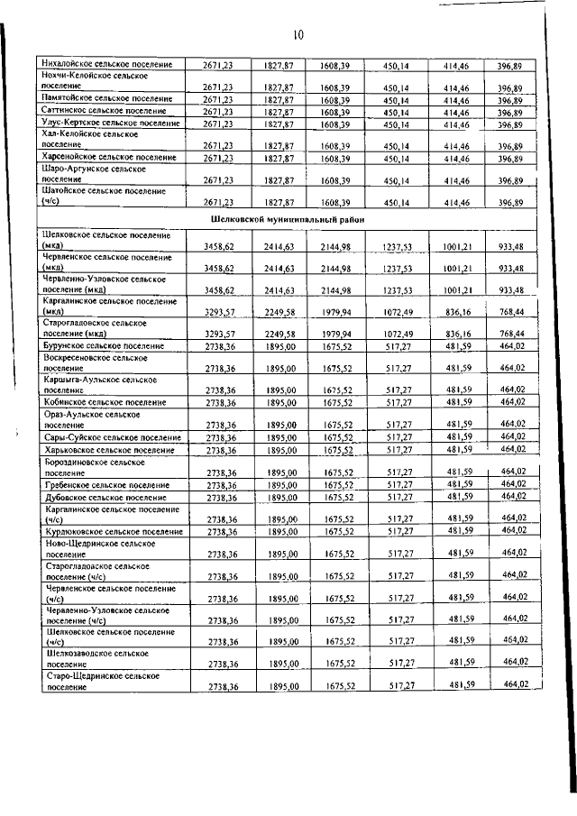
Постановление Правительства Чеченской Республики от 25.04.2019 № 76
"О республиканских стандартах стоимости жилищно-коммунальных услуг по Чеченской Республике на 2019 год"
Номер опубликования: 2000201904300009
Дата опубликования: 30.04.2019
Страница №10 из 18:
Увеличить