Официальное опубликование правовых актов
ОФИЦИАЛЬНОЕ ОПУБЛИКОВАНИЕ
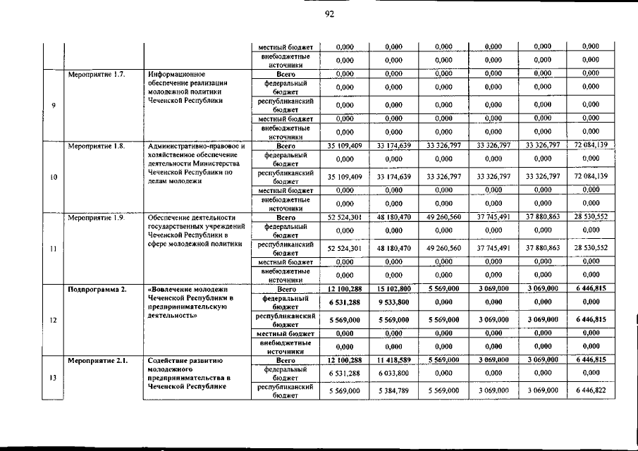
Постановление Правительства Чеченской Республики от 05.03.2019 № 31
"О внесении изменений в постановление Правительства Чеченской Республики от 7 февраля 2017 года № 17"
Номер опубликования: 2000201903120006
Дата опубликования: 12.03.2019
Страница №92 из 108:
Увеличить