Официальное опубликование правовых актов
ОФИЦИАЛЬНОЕ ОПУБЛИКОВАНИЕ
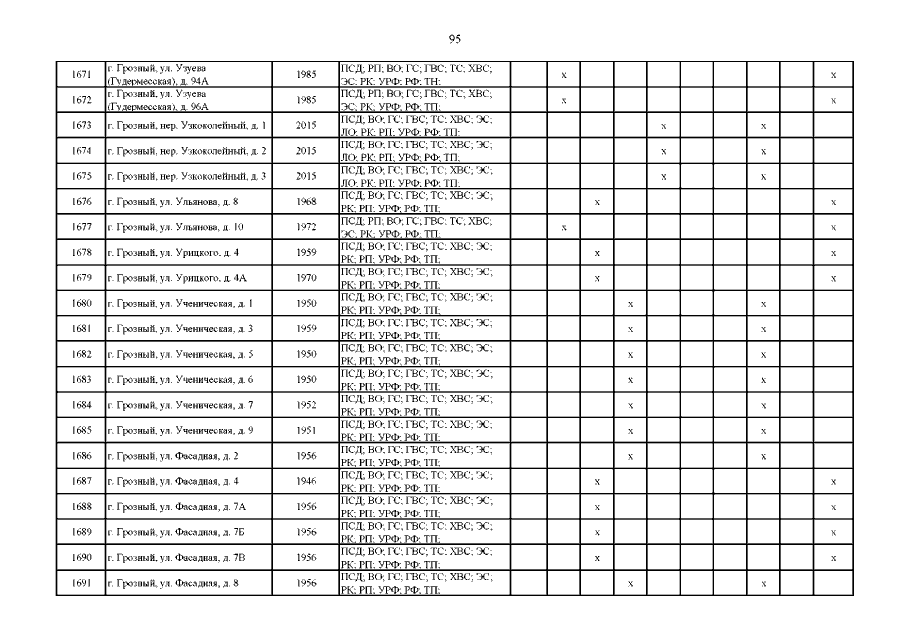
Постановление Правительства Чеченской Республики от 12.02.2019 № 28
"О внесении изменений в региональную программу "Капитальный ремонт общего имущества в многоквартирных домах, расположенных на территории Чеченской Республики, на 2014-2043 годы"
Номер опубликования: 2000201902140008
Дата опубликования: 14.02.2019
Страница №95 из 102:
Увеличить