Официальное опубликование правовых актов
ОФИЦИАЛЬНОЕ ОПУБЛИКОВАНИЕ
Постановление Правительства Чеченской Республики от 25.01.2019 № 1
"О внесении изменений в постановление Правительства Чеченской Республики от 19 декабря 2013 года № 354"
Номер опубликования: 2000201901300001
Дата опубликования: 30.01.2019
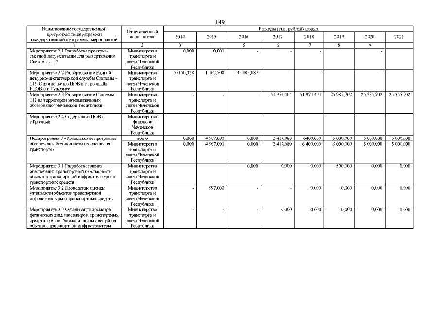
Страница №149 из 181:
Увеличить