Официальное опубликование правовых актов
ОФИЦИАЛЬНОЕ ОПУБЛИКОВАНИЕ
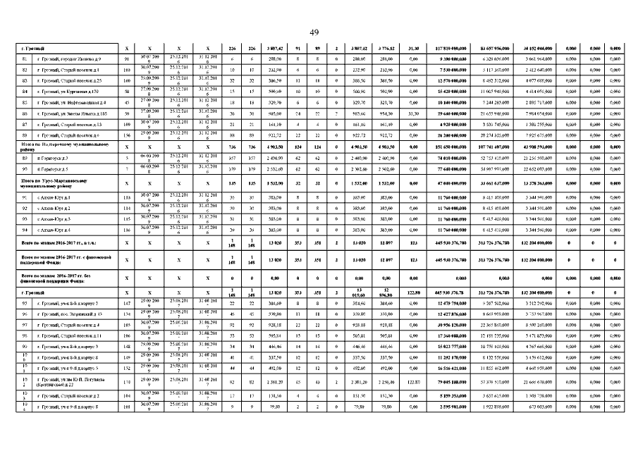
Постановление Правительства Чеченской Республики от 10.12.2018 № 268
"О внесении изменений в постановление Правительства Чеченской Республики от 19 декабря 2013 года № 353"
Номер опубликования: 2000201812190025
Дата опубликования: 19.12.2018
Страница №49 из 255:
Увеличить