Официальное опубликование правовых актов
ОФИЦИАЛЬНОЕ ОПУБЛИКОВАНИЕ
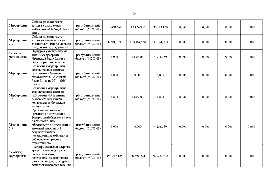
Постановление Правительства Чеченской Республики от 10.12.2018 № 251
"О внесении изменений в постановление Правительства Чеченской Республики от 3 декабря 2013 года .№ 312"
Номер опубликования: 2000201812190008
Дата опубликования: 19.12.2018
Страница №324 из 369:
Увеличить