Официальное опубликование правовых актов
ОФИЦИАЛЬНОЕ ОПУБЛИКОВАНИЕ
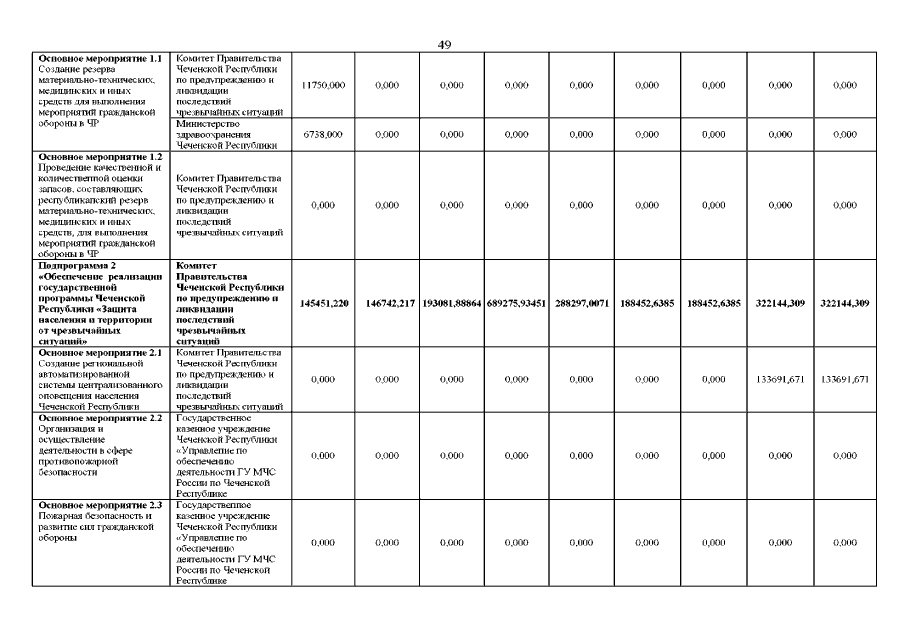
Постановление Правительства Чеченской Республики от 06.11.2018 № 230
"О внесении изменений в постановление Правительства Чеченской Республики от 19 декабря 2013 года № 344"
Номер опубликования: 2000201811090004
Дата опубликования: 09.11.2018
Страница №49 из 57:
Увеличить