Официальное опубликование правовых актов
ОФИЦИАЛЬНОЕ ОПУБЛИКОВАНИЕ
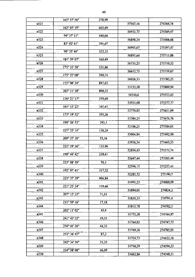
Закон Чеченской Республики от 02.11.2018 № 50-рз
"О ВНЕСЕНИИ ИЗМЕНЕНИЙ В ЗАКОН ЧЕЧЕНСКОЙ РЕСПУБЛИКИ "ОБ ОБРАЗОВАНИИ МУНИЦИПАЛЬНОГО ОБРАЗОВАНИЯ СУНЖЕНСКИЙ РАЙОН И МУНИЦИПАЛЬНЫХ ОБРАЗОВАНИЙ, ВХОДЯЩИХ В ЕГО СОСТАВ, УСТАНОВЛЕНИИ ИХ ГРАНИЦ И НАДЕЛЕНИИ ИХ СООТВЕТСТВУЮЩИМ СТАТУСОМ МУНИЦИПАЛЬНОГО РАЙОНА, ГОРОДСКОГО И СЕЛЬСКОГО ПОСЕЛЕНИЯ"
Номер опубликования: 2000201811070001
Дата опубликования: 07.11.2018
Страница №60 из 99:
Увеличить