Официальное опубликование правовых актов
ОФИЦИАЛЬНОЕ ОПУБЛИКОВАНИЕ
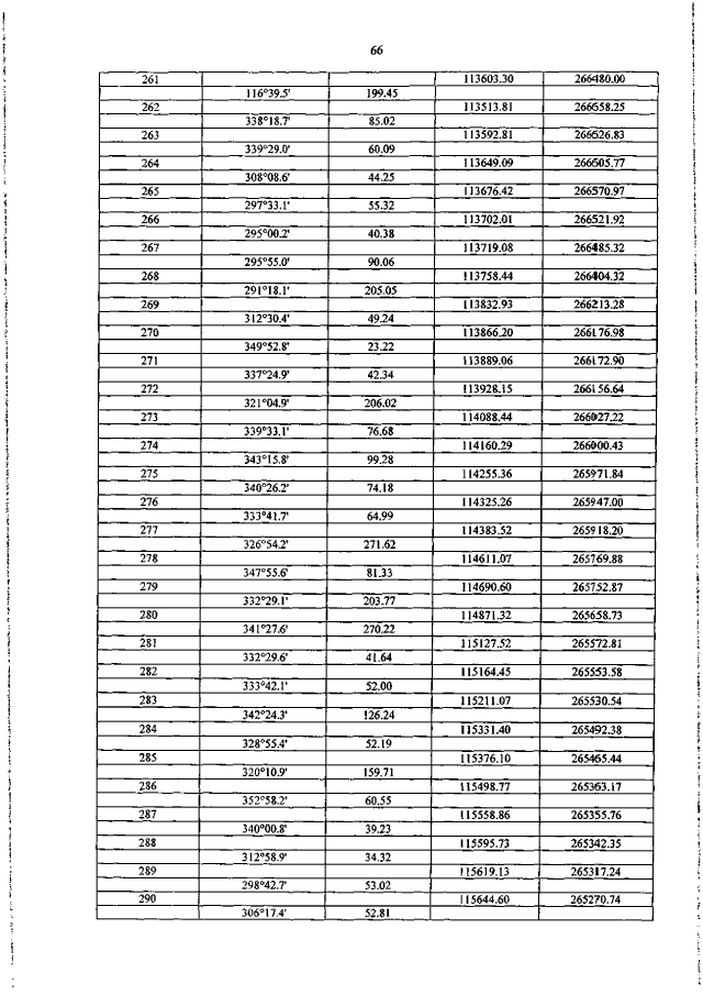
Закон Чеченской Республики от 30.05.2018 № 25-рз
"О ВНЕСЕНИИ ИЗМЕНЕНИЙ В ЗАКОН ЧЕЧЕНСКОЙ РЕСПУБЛИКИ "ОБ ОБРАЗОВАНИИ МУНИЦИПАЛЬНОГО ОБРАЗОВАНИЯ НАДТЕРЕЧНЫЙ РАЙОН И МУНИЦИПАЛЬНЫХ ОБРАЗОВАНИЙ,ВХОДЯЩИХ В ЕГО СОСТАВ, УСТАНОВЛЕНИИ ИХ ГРАНИЦ И НАДЕЛЕНИИ ИХ СООТВЕТСТВУЮЩИМ СТАТУСОМ МУНИЦИПАЛЬНОГО РАЙОНА И СЕЛЬСКОГО ПОСЕЛЕНИЯ"
Номер опубликования: 2000201806080002
Дата опубликования: 08.06.2018
Страница №66 из 67:
Увеличить