Официальное опубликование правовых актов
ОФИЦИАЛЬНОЕ ОПУБЛИКОВАНИЕ
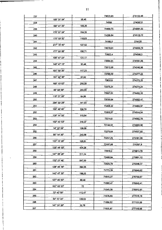
Закон Чеченской Республики от 30.05.2018 № 24-рз
"О ВНЕСЕНИИ ИЗМЕНЕНИЙ В ЗАКОН ЧЕЧЕНСКОЙ РЕСПУБЛИКИ "ОБ ОБРАЗОВАНИИ МУНИЦИПАЛЬНОГО ОБРАЗОВАНИЯ СУНЖЕНСКИЙ РАЙОН И МУНИЦИПАЛЬНЫХ ОБРАЗОВАНИЙ, ВХОДЯЩИХ В ЕГО СОСТАВ, УСТАНОВЛЕНИИ ИХ ГРАНИЦ И НАДЕЛЕНИИ ИХ СООТВЕТСТВУЮЩИМ СТАТУСОМ МУНИЦИПАЛЬНОГО РАЙОНА, ГОРОДСКОГО И СЕЛЬСКОГО ПОСЕЛЕНИЯ"
Номер опубликования: 2000201806080001
Дата опубликования: 08.06.2018
Страница №11 из 56:
Увеличить