Официальное опубликование правовых актов
ОФИЦИАЛЬНОЕ ОПУБЛИКОВАНИЕ
Постановление Правительства Чеченской Республики от 19.03.2018 № 47
"О внесении изменений в постановление Правительства Чеченской Республики от 19 декабря 2013 года № 336"
Номер опубликования: 2000201803230003
Дата опубликования: 23.03.2018
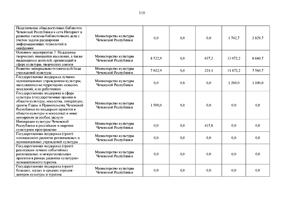
Страница №110 из 145:
Увеличить