Официальное опубликование правовых актов
ОФИЦИАЛЬНОЕ ОПУБЛИКОВАНИЕ
Постановление Правительства Чеченской Республики от 28.12.2017 № 335
"О внесении изменений в постановление Правительства Чеченской Республики от 19 декабря 2013 года №345"
Номер опубликования: 2000201712290033
Дата опубликования: 29.12.2017
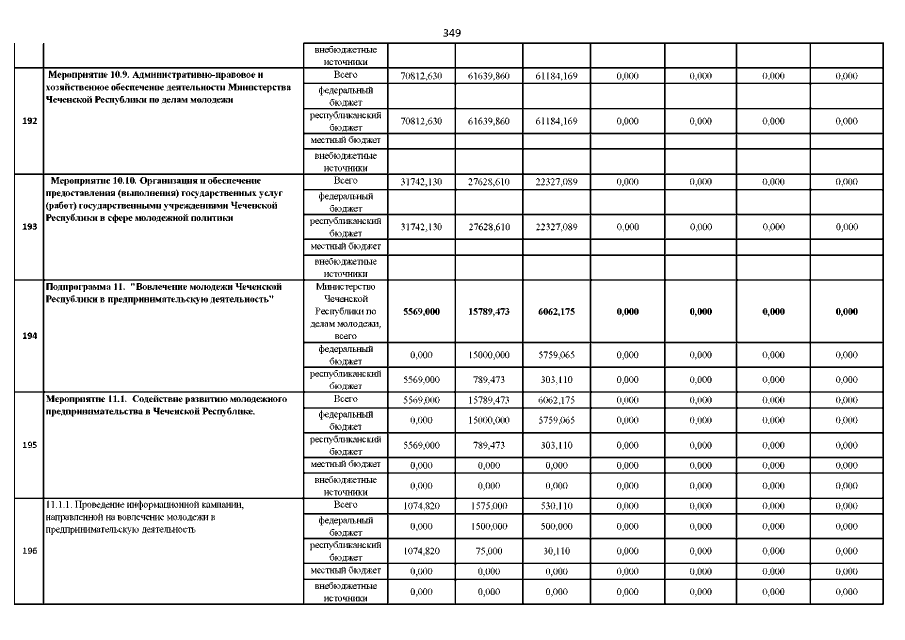
Страница №349 из 356:
Увеличить