Официальное опубликование правовых актов
ОФИЦИАЛЬНОЕ ОПУБЛИКОВАНИЕ
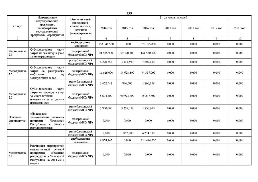
Постановление Правительства Чеченской Республики от 07.11.2017 № 270
"О внесении изменений в постановление Правительства Чеченской Республики от 3 декабря 2013 года № 312"
Номер опубликования: 2000201711130002
Дата опубликования: 13.11.2017
Страница №339 из 373:
Увеличить