Официальное опубликование правовых актов
ОФИЦИАЛЬНОЕ ОПУБЛИКОВАНИЕ
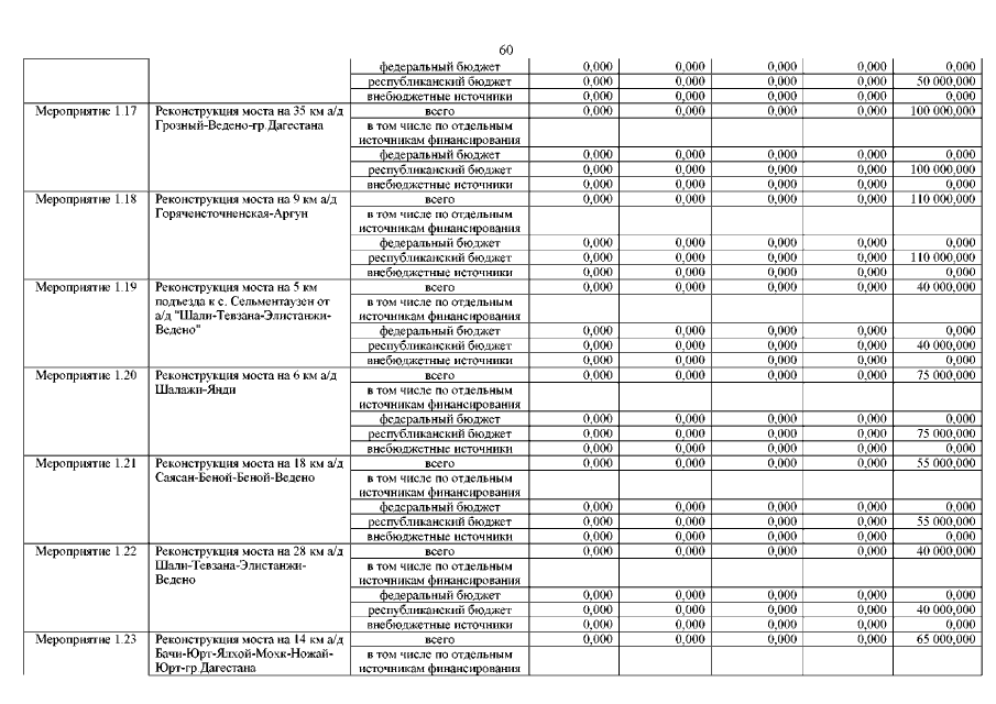
Постановление Правительства Чеченской Республики от 07.11.2017 № 256
"О внесении изменений в постановление Правительства Чеченской Республики от 19 декабря 2013 года № 349"
Номер опубликования: 2000201711090012
Дата опубликования: 09.11.2017
Страница №60 из 113:
Увеличить