Официальное опубликование правовых актов
ОФИЦИАЛЬНОЕ ОПУБЛИКОВАНИЕ
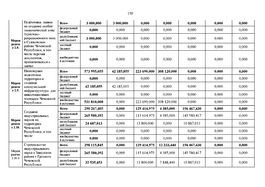
Постановление Правительства Чеченской Республики от 06.06.2017 № 119
"О внесении изменений в постановление Правительства Чеченской Республики от 19 декабря 2013 года № 330"
Номер опубликования: 2000201706090026
Дата опубликования: 09.06.2017
Страница №150 из 174:
Увеличить