Официальное опубликование правовых актов
ОФИЦИАЛЬНОЕ ОПУБЛИКОВАНИЕ
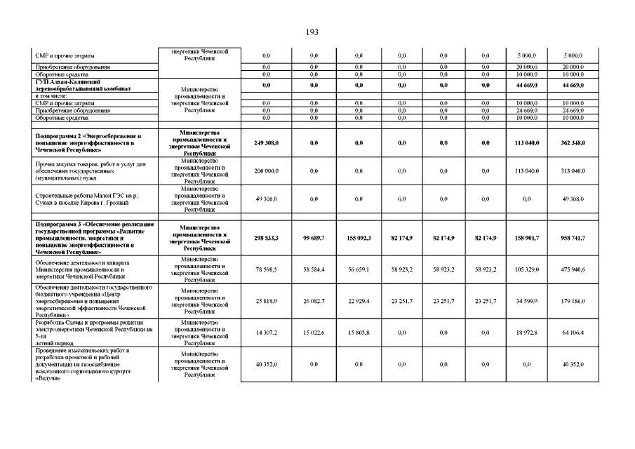
Постановление Правительства Чеченской Республики от 07.03.2017 № 42
"О внесении изменений в постановление Правительства Чеченской Республики от 3 декабря 2013 года №315"
Номер опубликования: 2000201703140012
Дата опубликования: 14.03.2017
Страница №193 из 207:
Увеличить