Официальное опубликование правовых актов
ОФИЦИАЛЬНОЕ ОПУБЛИКОВАНИЕ
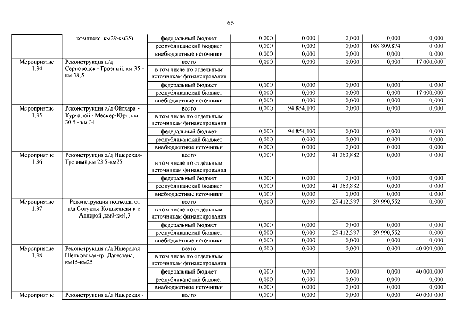
Постановление Правительства Чеченской Республики от 07.03.2017 № 52
"О внесении изменений в постановление Правительства Чеченской Республики от 19 декабря 2013 года № 349"
Номер опубликования: 2000201703140003
Дата опубликования: 14.03.2017
Страница №66 из 121:
Увеличить