Официальное опубликование правовых актов
ОФИЦИАЛЬНОЕ ОПУБЛИКОВАНИЕ
Постановление Правительства Чеченской Республики от 07.03.2017 № 50
"О внесении изменений в постановление Правительства Чеченской Республики от 19 декабря 2013 года № 346"
Номер опубликования: 2000201703140001
Дата опубликования: 14.03.2017
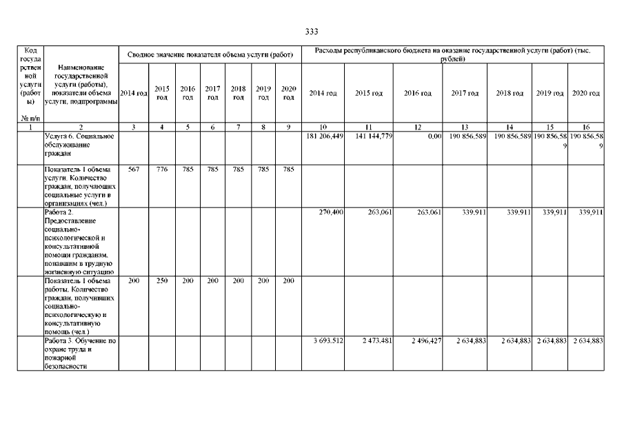
Страница №333 из 433:
Увеличить