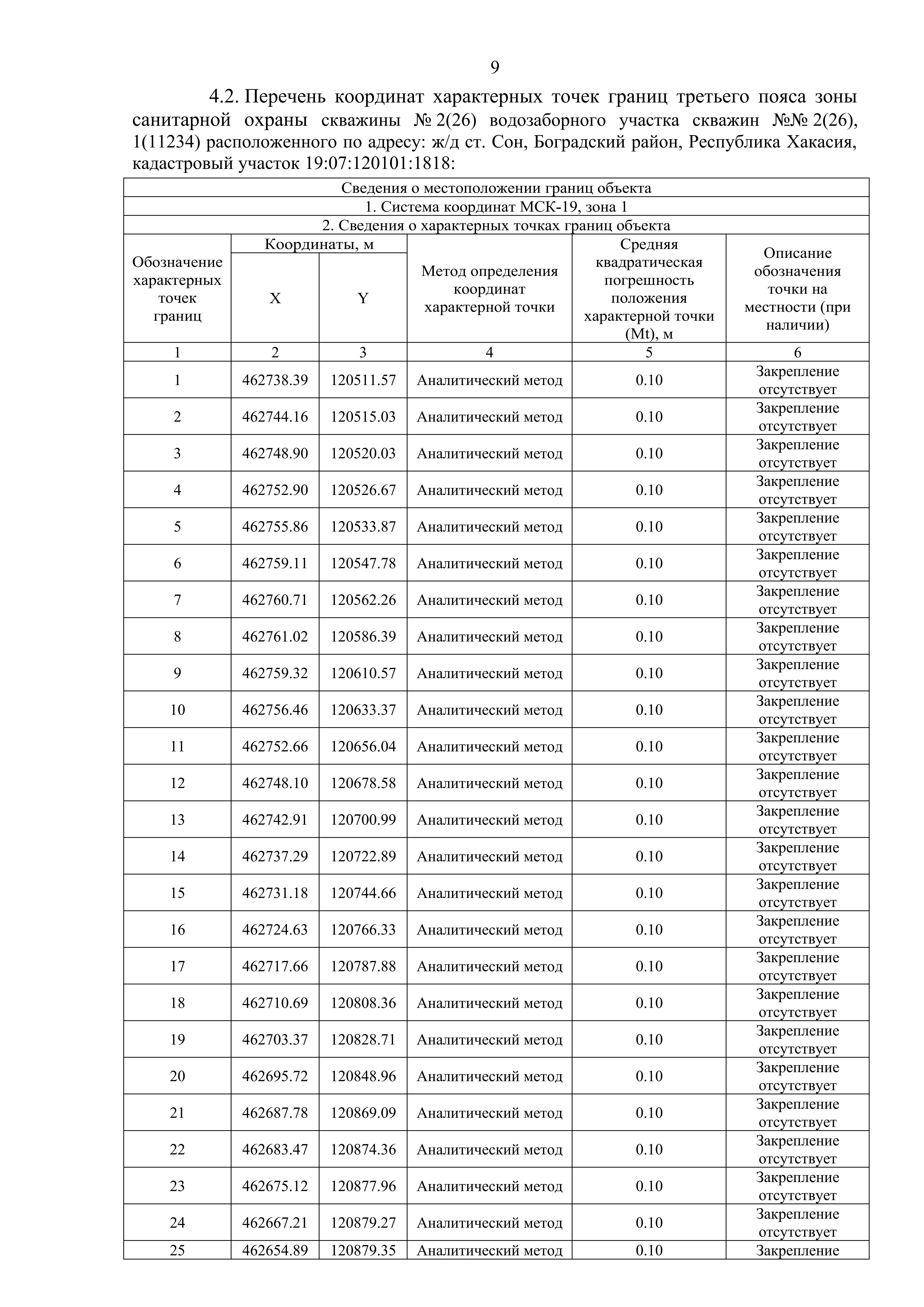
Приказ Министерства природных ресурсов и экологии Республики Хакасия от 20.01.2026 № 010-5-пр
"Об установлении зон санитарной охраны водозаборного участка скважин №№ 2(26), 1(11234), расположенного по адресу: ж/д ст. Сон, Боградский район, Республика Хакасия, кадастровый участок 19:07:120101:1818"
(Зарегистрирован 30.01.2026 № 27)
"Об установлении зон санитарной охраны водозаборного участка скважин №№ 2(26), 1(11234), расположенного по адресу: ж/д ст. Сон, Боградский район, Республика Хакасия, кадастровый участок 19:07:120101:1818"
(Зарегистрирован 30.01.2026 № 27)
Номер опубликования: 1901202602060001
Дата опубликования:
06.02.2026
