Официальное опубликование правовых актов
ОФИЦИАЛЬНОЕ ОПУБЛИКОВАНИЕ
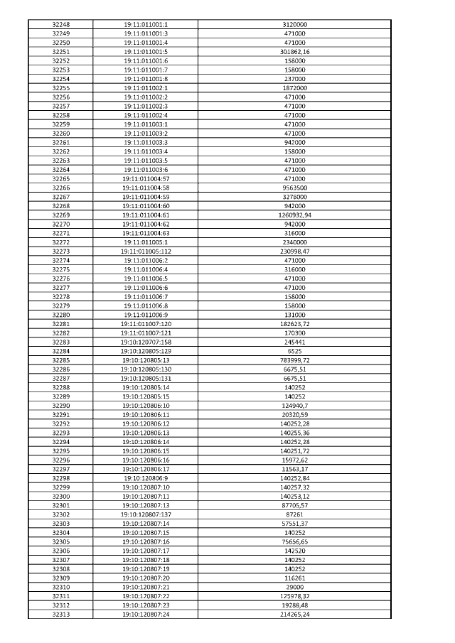
Приказ Министерства имущественных и земельных отношений Республики Хакасия от 19.11.2021 № 020-78-п
"Об утверждении результатов определения кадастровой стоимости земельных участков из категории земель сельскохозяйственного назначения, земель промышленности, энергетики, транспорта, связи, радиовещания, телевидения, информатики, земель для обеспечения космической деятельности, земель обороны, безопасности и земель иного специального назначения, расположенных на территории Республики Хакасия"
(Зарегистрирован 23.11.2021 № 488)
Номер опубликования: 1901202111240001
Дата опубликования: 24.11.2021
Страница №492 из 522:
Увеличить