Официальное опубликование правовых актов
ОФИЦИАЛЬНОЕ ОПУБЛИКОВАНИЕ
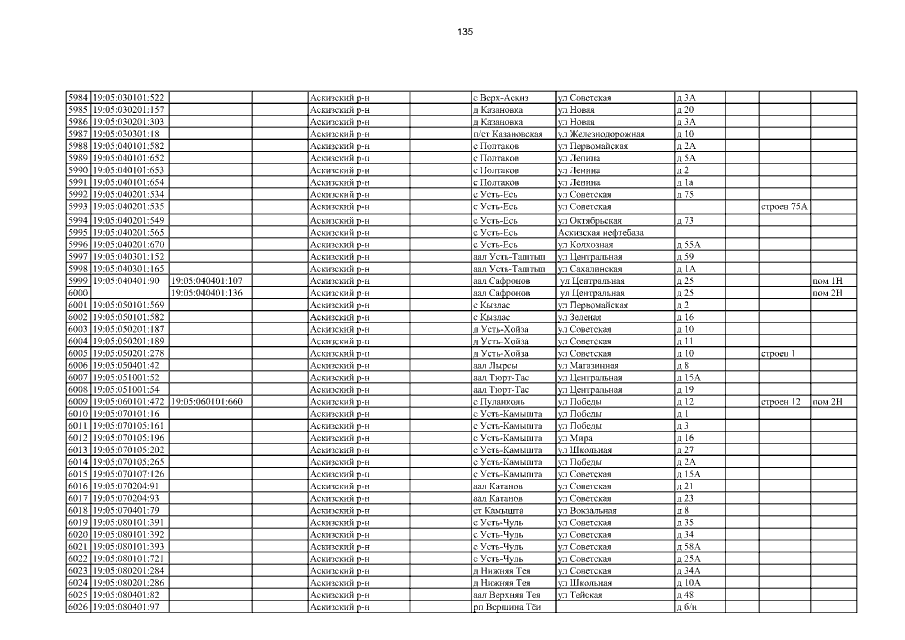
Приказ Министерства имущественных и земельных отношений Республики Хакасия от 25.12.2020 № 020-190-п
"Об определении на 2021 год перечня объектов недвижимого имущества, в отношении которых налоговая база определяется как кадастровая стоимость"
(Зарегистрирован 28.12.2020 № 577)
Номер опубликования: 1901202012290002
Дата опубликования: 29.12.2020
Страница №137 из 181:
Увеличить