Официальное опубликование правовых актов
ОФИЦИАЛЬНОЕ ОПУБЛИКОВАНИЕ
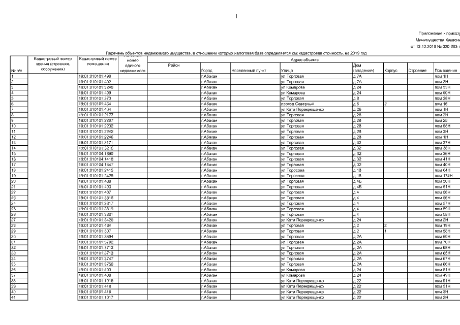
Приказ Министерства имущественных и земельных отношений Республики Хакасия от 13.12.2018 № 020-203-п
"Об определении на 2019 год перечня объектов недвижимого имущества, в отношении которых налоговая база определяется как кадастровая стоимость"
(Зарегистрирован 24.12.2018 № 469)
Номер опубликования: 1901201812260001
Дата опубликования: 26.12.2018
Страница №2 из 163:
Увеличить