Официальное опубликование правовых актов
ОФИЦИАЛЬНОЕ ОПУБЛИКОВАНИЕ
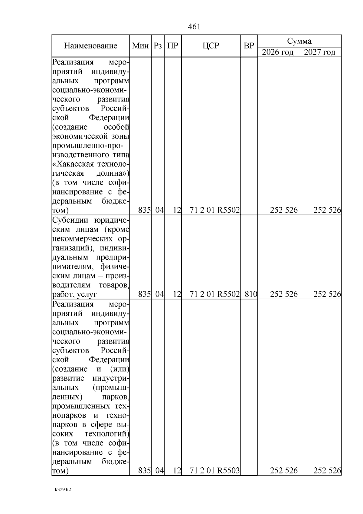
Закон Республики Хакасия от 12.12.2025 № 84-ЗРХ
"О внесении изменений в Закон Республики Хакасия "О республиканском бюджете Республики Хакасия на 2025 год и на плановый период 2026 и 2027 годов"
Номер опубликования: 1900202512120015
Дата опубликования: 12.12.2025
Страница №461 из 746:
Увеличить