Официальное опубликование правовых актов
ОФИЦИАЛЬНОЕ ОПУБЛИКОВАНИЕ
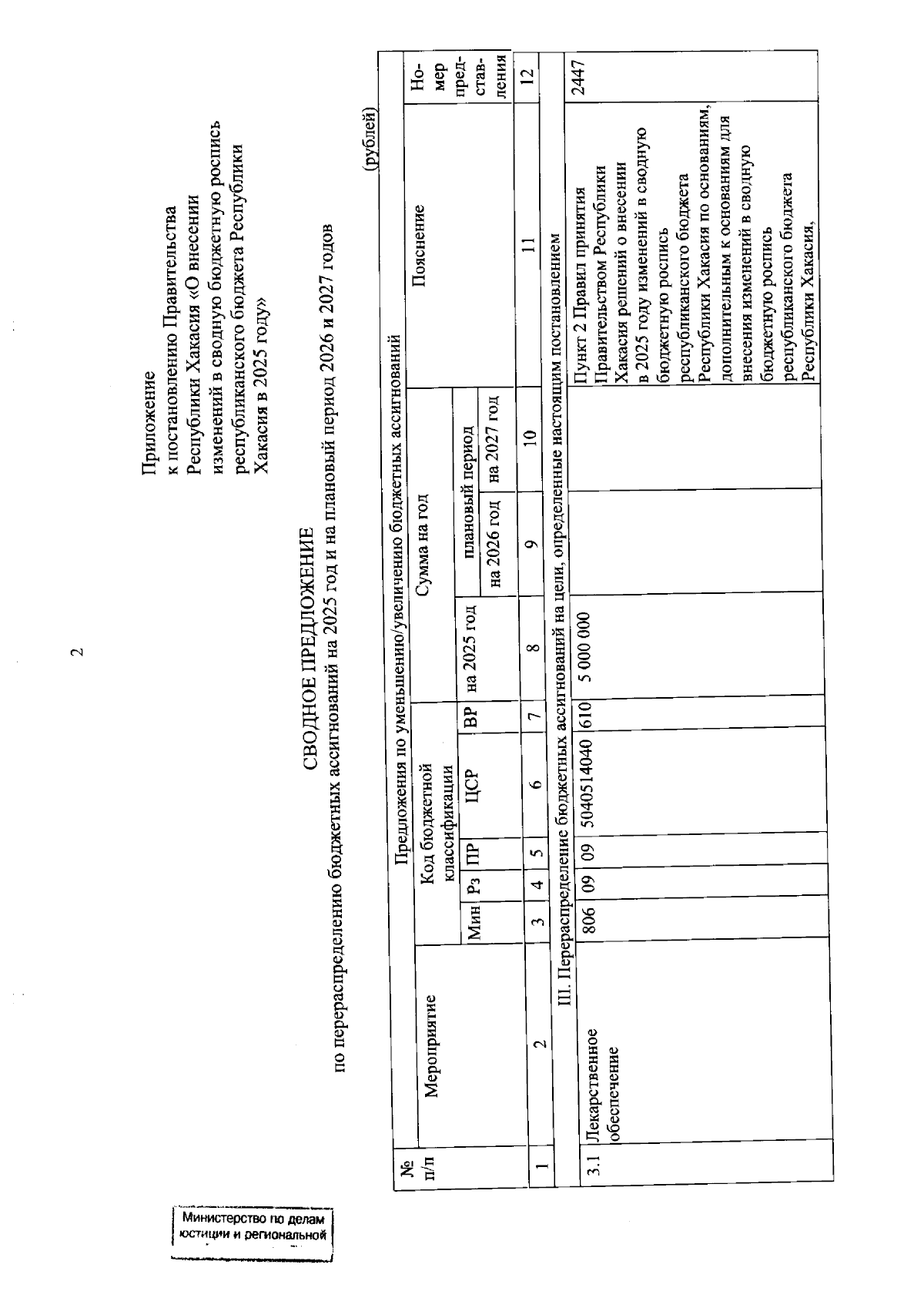
Постановление Правительства Республики Хакасия от 09.12.2025 № 644
"О внесении изменений в сводную бюджетную роспись республиканского бюджета Республики Хакасия в 2025 году"
Номер опубликования: 1900202512090003
Дата опубликования: 09.12.2025
Страница №2 из 12:
Увеличить