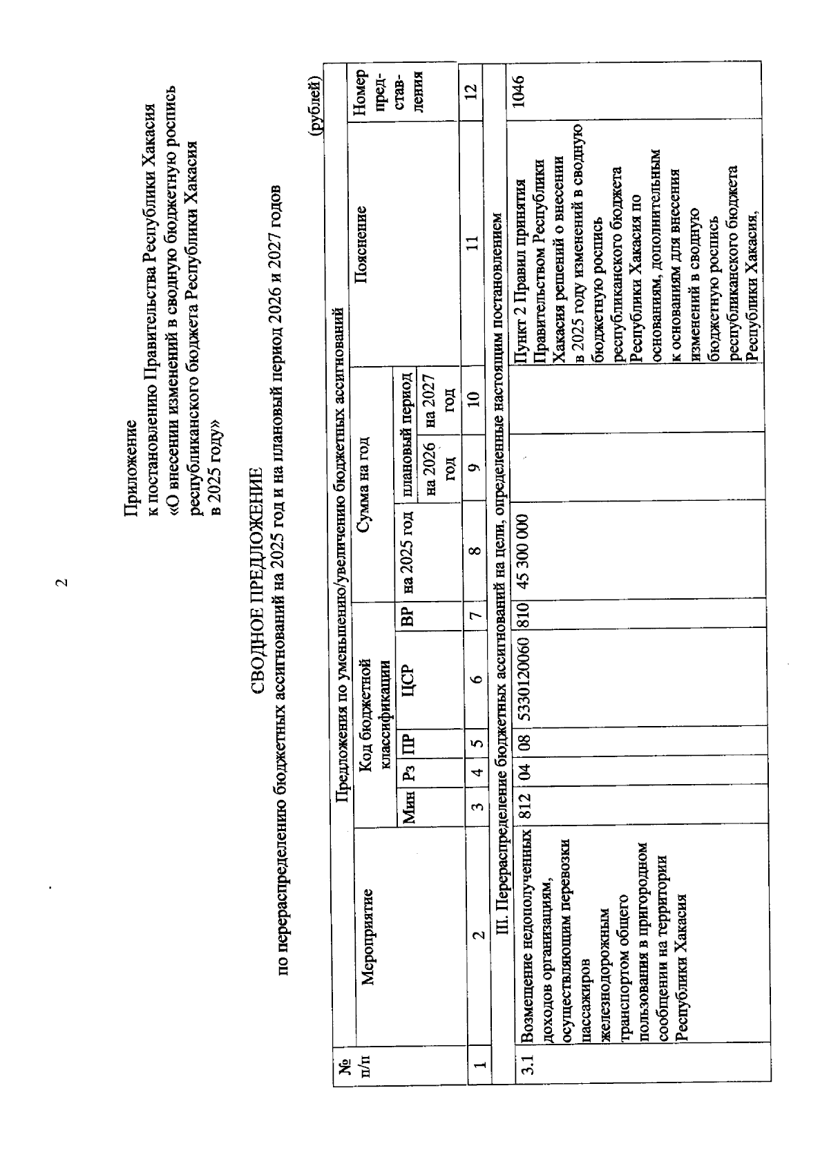
Постановление Правительства Республики Хакасия от 16.06.2025 № 325
"О внесении изменений в сводную бюджетную роспись республиканского бюджета Республики Хакасия в 2025 году"
"О внесении изменений в сводную бюджетную роспись республиканского бюджета Республики Хакасия в 2025 году"
Номер опубликования: 1900202506170001
Дата опубликования:
17.06.2025
