Постановление Правительства Республики Хакасия от 27.01.2025 № 27
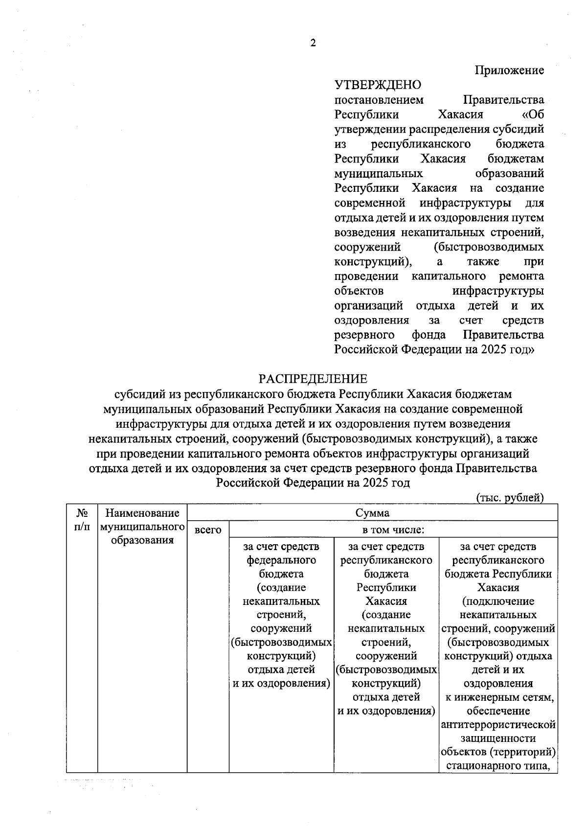
"Об утверждении распределения субсидий из республиканского бюджета Республики Хакасия бюджетам муниципальных образований Республики Хакасия на создание современной инфраструктуры для отдыха детей и их оздоровления путем возведения некапитальных строений, сооружений (быстровозводимых конструкций), а также при проведении капитального ремонта объектов инфраструктуры организаций отдыха детей и их оздоровления за счет средств резервного фонда Правительства Российской Федерации на 2025 год"
"Об утверждении распределения субсидий из республиканского бюджета Республики Хакасия бюджетам муниципальных образований Республики Хакасия на создание современной инфраструктуры для отдыха детей и их оздоровления путем возведения некапитальных строений, сооружений (быстровозводимых конструкций), а также при проведении капитального ремонта объектов инфраструктуры организаций отдыха детей и их оздоровления за счет средств резервного фонда Правительства Российской Федерации на 2025 год"
Номер опубликования: 1900202501290001
Дата опубликования:
29.01.2025
