Официальное опубликование правовых актов
ОФИЦИАЛЬНОЕ ОПУБЛИКОВАНИЕ
Постановление Правительства Республики Хакасия от 21.06.2024 № 375
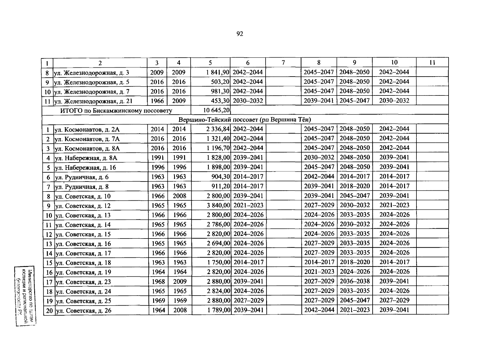
"О внесении изменений в постановление Правительства Республики Хакасия от 14.03.2014 № 102 "Об утверждении региональной программы "Капитальный ремонт общего имущества в многоквартирных домах, расположенных на территории Республики Хакасия (2014–2050 годы)"
Номер опубликования: 1900202406240001
Дата опубликования: 24.06.2024
Страница №92 из 109:
Увеличить